Model Contract Drepturi De Autor 2019





Doc Contract Cesiune Drepturi De Autor Gherasim Cosmina Academia Edu

Doc Contract Cesiune Drepturi De Autor Gherasim Cosmina Academia Edu

Download Contract Cesiune Drepturi Autor

Download Contract Cesiune Drepturi Autor

Download Contract Cesiune Drepturi Autor

Download Contract Cesiune Drepturi Autor

Model Contract De Sponsorizare

Model Contract De Sponsorizare

Referat Transmiterea Contractuala A Dreptului De Autor Drept 313016

Referat Transmiterea Contractuala A Dreptului De Autor Drept 313016

Despre Drepturile De Autor Alex Galmeanu S Blog

Despre Drepturile De Autor Alex Galmeanu S Blog

Despre Drepturile De Autor Alex Galmeanu S Blog

Employment Contract Sick Leave Non Disclosure Agreement

Employment Contract Sick Leave Non Disclosure Agreement

Contract For The Supply Of Salt Value Added Tax Invoice

Contract For The Supply Of Salt Value Added Tax Invoice

Types Of Contracts Commonly Used Engineering And Construction Contracts Sketch Up Cost Perioadă De Probă Gratuită De 30 De Zile Scribd

Types Of Contracts Commonly Used Engineering And Construction Contracts Sketch Up Cost Perioadă De Probă Gratuită De 30 De Zile Scribd

Sponsorizarea Model Contract Clauze Obligatorii Si Facilitati

Sponsorizarea Model Contract Clauze Obligatorii Si Facilitati

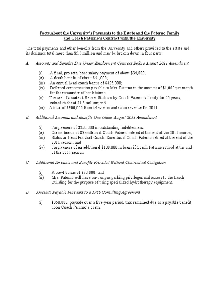
Facts About The University S Payments To The Estate And The Paterno Family And Coach Paterno S Contract With The University Business Law Business

Facts About The University S Payments To The Estate And The Paterno Family And Coach Paterno S Contract With The University Business Law Business

Conventia Civila Cadru Legal Diferente Fata De Contractul Individual De Munca

Conventia Civila Cadru Legal Diferente Fata De Contractul Individual De Munca

Ordin 139 20 01 2020

Ordin 139 20 01 2020

The Amendment Of Standard Form Construction Contracts Breach Of Contract Arbitration

The Amendment Of Standard Form Construction Contracts Breach Of Contract Arbitration

The Drepturi Autor Case Study You Ll Never Forget

The Drepturi Autor Case Study You Ll Never Forget

Https Etd Ohiolink Edu Etd Send File Accession Bgsu1589748472721111 Disposition Inline

Https Etd Ohiolink Edu Etd Send File Accession Bgsu1589748472721111 Disposition Inline

2

2

Declarația Unică 2019 In Răspunsuri Oferite De Anaf Drepturi De Autor Dividende Chirii

Declarația Unică 2019 In Răspunsuri Oferite De Anaf Drepturi De Autor Dividende Chirii

Conventii Civile Si Drepturi De Autor

Conventii Civile Si Drepturi De Autor

Fidic Construction 1999 Red Book Subcontract 1st Ed 2011 International Federation Of Consulting Engineers

Fidic Construction 1999 Red Book Subcontract 1st Ed 2011 International Federation Of Consulting Engineers

Source : pinterest.com